Constructing Questions for Ask Zia
Ask Zia understands the underlying intention of your questions, and generates appropriate reports accordingly. However, similar to the communication gaps in human interactions, there may be some miscommunication while using Ask Zia.
This section details how you can best communicate with Ask Zia.
Constructing questions
Ask Zia provides the flexibility of putting forth questions in any format, regardless of the phrasing or the words used. Here are the different types of questions you can use with Ask Zia.
Structured questions
Questions that are fully formed structured sentences can be used with Ask Zia. For example, 'Show me the sales grouped by country for the year 2018', provides a chart of the sales across countries in 2018.
Unstructured questions
Fragmented and incomplete sentences can also be posted as questions to Ask Zia. For example, 'India sales in 2019', displays a widget with the total sales in India in 2019.
WH questions
WH Questions (i.e. questions starting with 'When', 'Where', 'How', etc. ) are acceptable in Ask Zia. For example, 'What is the last year's profit', displays a widget of the previous year's total profit.
Explicit information
Questions that contain explicit information (i.e. names of columns present your tables) can be used in Ask Zia. For example, 'Give me the sales across regions', provides a chart of region wise sales, where Sales and Region are two columns from the Sales table.
Implicit information
Phrasing questions that contain terms that refer to, or imply, some of the columns present in tables are acceptable in Ask Zia. For example, 'Monthly Sales', displays your sales across each month. In this scenario, Ask Zia will identify the term 'Monthly', relate it to a date column and display the corresponding values.
Column values
You can phrase questions about the data present in different columns in a table. For example, 'Give me the sales across all regions except West', identifies the word West as a value in the column Region, and displays a chart filtering out that value.
Across different tables
Similarly, questions linking data from different tables can also be used. Ask Zia will interpret the question based on the way the tables are joined, and generate the most accurate report. For example, 'Sales vs. Target by region', will use the lookup column between the Sales and Regional Target tables, and generate the report. Click here to know more about Joining tables.
Formula columns
Questions can also be posted about formula metrics created over data tables. For example, 'Region wise profit for 2018', displays the profit distribution for the year 2018, where Profit is a formula column created over the Sales table. Click here to know more about formulas.
Typographical Error
Questions that contain any typographical error can also be interpreted by Ask Zia. For example, misspelling 'Sales' as 'Salse' would still display the sales value.
Functionalities of Ask Zia
Ask Zia provides the following functionalities:
- Ask for metrics
- Apply summary functions
- Statistical Measures
- Group metric columns
- Apply filter criteria
- Sort Data
Ask for metrics
Ask Zia allows you to ask for details on metrics present in your data tables. For example, 'What is the last year's profit', gives you the total profit as a widget. Questions relating multiple metrics are also possible. For example, 'Sales vs. Profit', displays a summary view of two metrics from the Sales table, Sales and Profit.
Apply summary functions
Analytics Plus provides a wide range of summary functions, such as sum and standard deviation, and advanced summarizing options like % of Previous value and Running total. (Refer the Summary functions and Advanced Summarizing functions sections to know more about the summary functions present in Analytics Plus.) Relevant summarizing functions will be used by Ask Zia while generating reports. These summary functions will also be listed as auto suggestions when framing your questions.
Here are a few examples. 'What is the number of products in each product category' displays a chart using the Count summary function applied on the data. 'Show me the running total of sales' generates a line chart with the Running Total advanced summary function applied. Using the list of suggestions provided by Ask Zia, other summary functions can be easily applied over the same data.

Statistical Measures
Find correlation between metrics
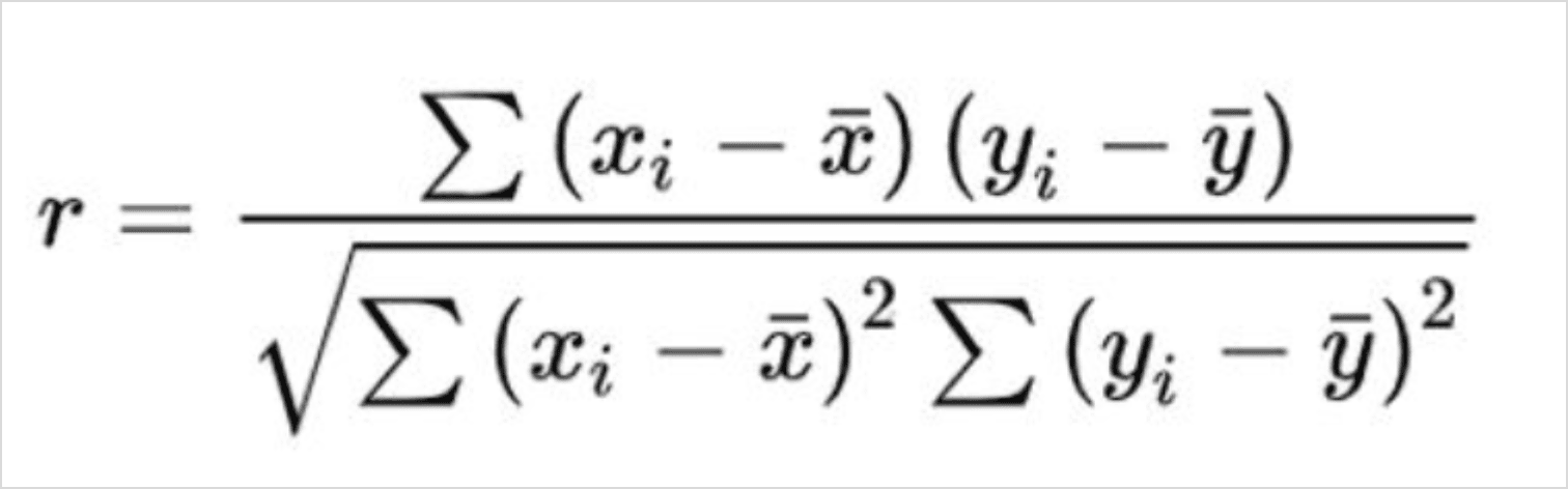
Ask Zia allows you to determine the correlation, a statistical measure that helps to identify how changes in one variable relate to changes in one or more variables. For example, in help desk metrics, how different factors like response time and resolution time affect customer satisfaction scores.
Zia calculates the correlation using Pearson's Correlation Coefficient, which is the ratio of the covariance between the two variables to the product of their standard deviations.

The value of the Pearson's Correlation Coefficient ranges from -1 to +1.
- R > 0.5 (Positive Correlation): When one variable increases, the other variable also increases.
Example: Are the number of tickets handled by an agent and customer satisfaction correlated?
Positive correlation suggests that agents who handle more tickets are also receiving higher customer satisfaction scores. This could indicate that high-performing agents are both fast and efficient in resolving customer issues.

- R < - 0.5 (Negative Correlation): When one variable increases, the other decreases.
Example: Give the correlation between cost and profit.
Negative correlation suggests that as production costs increase, the profit decreases. This is typical in most businesses where increased costs (e.g., material, labor, overhead) erode the profitability of the product unless prices are adjusted accordingly.

- R value between - 0.5 and 0.5 (- 0.5 < R < 0.5) (No Correlation): If there is no discernible pattern of change between two variables, they are said to have no correlation.
Example: Give the correlation between the size of the team and the number of tasks completed.
No correlation indicates no linear relationship between team size and the number of tasks completed. A smaller team might be able to work more efficiently and complete more tasks, while a larger team may take more time to coordinate, leading to fewer tasks being completed.

Possible questions:
- Are
and correlated? - Are
and positively correlated? - Are
and negatively correlated? - Are
and have a correlation? - Are
and have a positive correlation? - Are
and have a negative correlation? - Get the correlation between
and variable 2>. - Show me the
and their correlation by .
Find trends strength in the data
A trend is a consistent pattern or direction seen in data over time or in relation to an independent variable. It aids in recognizing patterns and forecasting future outcomes.
- Strong trend (Value ranges between 0.7 to 1.0): Indicates the data consistently moves in one direction (upward or downward).
- Moderate trend (value ranges between 0.3 to 0.7): Indicates the data shows a relatively consistent direction (upward or downward) but with occasional fluctuations or deviations.
- Weak trend (Value ranges between 0.0 to 0.3): Indicates the data does not follow a clear upward or downward path.
Example: The example below illustrates a strong uptrend in sales for the West region and a weak uptrend for the Central region.

Possible questions:
- Are
showing an increasing trend? - Is
showing a downtrend? - Which
has an upward trend? is showing a decreasing trend for the last four years?/li> - Which
is showing an uptrend in ? - How many
show an upward trend?
Group metric
Analytics Plus allows you to group columns while generating reports in Ask Zia. Using phrases like 'by', 'group by', 'categorized by', 'across', 'wise', etc. while framing questions invokes the group functionality. The following are the different group combinations that are supported by Ask Zia.
- Grouping a single metric by single or multiple columns: For example, 'What is my sales across regions' groups the Sales data by Regions. This can also be extended as 'What is my sales across regions every year' to group Sales data by Region and Date.

- Grouping multiple metrics by single or multiple columns: For example, 'Sales and profit across regions' displays a comparison of the Sales and Profit data, grouped by the Region column. This question can be extended as 'Sales and profit across regions by year' to list the Sales and Profit data, grouped by the Region and Date column.

Apply Filter Criteria
This section lists the various types of filter criteria that can be applied to questions in Ask Zia.
Filter textual values
Ask Zia can be used to filter specific values present in text columns. For example, 'Sales across years in the west' displays a chart after filtering the value 'West' from the Region column in the Sales table.

Filter numeric values
You can filter numeric columns either by a range or by using phrases like 'greater than', 'highest', etc. For example, 'Sales in countries where cost > 1k' generates a map chart without the cost values lesser than 1k.

Filter by ranges
You can filter data by specific ranges, using terms like 'Top 10', 'Bottom 5', 'Recent', and more. For example, 'Region with the most sales' filters the region that has the highest sales.

Filter dates
Ask Zia allows you to filter date ranges, exact dates, and relative dates like 'This month', 'Last quarter', etc. For example, 'Sales from June 2018 to June 2019' displays a widget of the total sales in that date range, while 'Sales this year' displays the total sales in the current year.

Filter Negation
Ask Zia enables you to exclude a set of data from the report using the following filter negations: exclude, except, ignore, without, etc. For example, 'Sales based on Product Category except Grocery' displays the sales chart excluding the sales of Grocery(product category).

Sort Data
Ask Zia allows you to sort the reports in ascending or descending order or based on any column values. For example, 'Sales based on Product Category sort by Year' displays a chart with total sales grouped based on product category and sorted based on the year.
Keywords for Ask Zia
The following is the list of keywords that Ask Zia can interpret and create appropriate insights on.
Summary Options | |
| Functions | Keywords |
| Summary | sum, total, tot |
| Minimum | minimum, min |
| Maximum | maximum, max, highest, high |
| Count | count, number, no, total number, distinct count, unique, unique count |
| Others | standard deviation, std dev, variance |
Advanced Summary Options | |
| Functions | Keywords |
| Running Total | running total, running tot., running sum |
| Percentage of | percentage, total percentage, %, percent, percentage of total, total %, % of total, pct of total, % of sum, sum percentage, sum pct, contribution, contribution of total |
| Difference From | difference, difference from, diff, growth |
| % of Difference From | % of difference, pct of difference, difference %, % diff, difference percentage, difference in percentage, |
| % of Previous Value | percentage of previous, % of previous, pct of previous, prev %, previous value % |
Group by Options | |
| Functions | Keywords |
| Numeric | actual, range, as range, dimension, as dimension |
| Date-Actual | year, yearly, year over year, yoy, absyear quarter, quarterly, quarter over quarter, qoq, absquarter month, monthly, month over month, mom, month and year, absmonth week, weekly, week over week, wow, week and year, absweek day, daily, day over day, absday date, hour, hourly, minute, second |
| Date-Seasonal | seasonal day, seasonal month, seasonal year, seasonal week, seasonal quarter |
Filtering Options | |
| Functions | Keywords |
| Numeric | >, >=, greater than, above, over, beyond, higher than, more than, exceeds <, <=, lesser than, lower, lower than, less than, below, under equal to, equals to, equals, =, between |
| Units and Currency | thousands, k, millions, m, mn, billions, b, bn, Lakhs, L, Crores, C, Rupees, RS, ₹, Dollars, $ |
| By Range | top 10, top few, top, top most, highest, best bottom 10, bottom few, bottom, lowest, worst |
| Text | starts with, starts with, ends with, contains, is |
| Date-Actual | 2018, 2019, Q1 2019, Q4 of 2018, quarter 1 of 2019 January 2019, Jan 2019, 1/2019 15th october , 30 july, nineth july 2017, third may 2016, 2 feb 2001, 2019 mar 4, 17/feb, twenty six october |
| Date-Seasonal | June, may, jul, oct, Sunday, saturday, thurs, tue 1st quarter, 2nd quarter, second quarter, third quarter, fourth quarter, first quarter, quarter 4, quarter1 |
| Date-Relative | this year, previous year, last year, past year, recent year, previous 3 years, next 3 years, last 3 year, recent 3 years, last nine years, previous few years, recent few years, past few years, recent few decades, previous few decades, past few decades, next few decades, last few years, last decade, recent decade this quarter, previous quarter, last quarter, this quarter, recent quarter, previous 9 quarters, last 9 quarters, next 9 quarters, recent 5 quarters, previous five quarters, last three quarters, recent few quarters, next few quarters, previous few quarters, past few quarters, last few quarters this month, previous months, last months, past month, recent months, previous 6 months, next 6 months, last 6 months, recent 6 months, previous thirteen months, recent seventeen months, previous few months, recent few months, previous month, current may, previous november, this apr, past mar this week, last week, past week, recent week, last few weeks today, yesterday, tomorrow, recent 3 days, past 21 days, recent few days, next few days, next day, recent day recent 22 hours, recent 13 hours, next hour, past hour |
| Filter Negation | not, except, excluding, without, neither, other than, ignoring, apart, apart from, ! =, exclude, exceeding |
Sorting Options | |
| Functions | Keywords |
| Ascending | ascending order, ascending, increasing order, alphabetical order (a-z) |
| Descending | descending, descending order, decreasing order, alphabetical order (z-a) |
| By Column | sorted, sort, sort by column |