Hewlett Packard Enterprises (HPE) is a market leader in delivering high-performance computing resources. If your data center runs mission-critical applications or other sensitive workloads on HP servers, you will definitely need a potential network monitoring software to track and analyze your HP servers.

Why do you need a proactive network monitoring software to manage your HP servers?

Servers aren't a separate entity in the network. Many operations in the network are dependent on servers and hence you will need a highly integrated network monitoring. This was it would be easy to correlate all the data and manage all the network devices from a single console.

Below are a few reasons why you might need a proactive network monitoring software to manage your HP servers.

  • Improved performance: A robust network monitoring solution will monitor the HP devices for metrics like CPU utilization, memory utilization, HP temperature, threshold and other performance metrics. With proactive monitoring, the devices are optimized to perform well.
  • Quicker troubleshooting: Continuous monitoring helps identify potential bottlenecks in the network, thereby helping the administrators resolve the issue before it begins affecting the end users. This way, minimal downtime is ensured, saving a lot of costs in maintenance.
  • Resource management: A versatile HP monitoring software helps analyze the performance and usage trends and thereby enables proper resource allocation. This helps the organization meet the growing business demands and cuts down the expenses that come with impromptu purchases.

When the network is monitored properly, fewer disruptions and delays are ensured, thereby improving the end user experience and reliability of your network.

Why OpManager is your one-stop solution for HP server monitoring

As your HP monitoring tool, OpManager provides the leverage you require to tackle server performance issues and outages. From tracking metrics to monitoring performance, HP server monitoring is all your devices need. It lets you track over 300 critical metrics, including CPU usage, I/O, memory utilization, disk usage, and server processes. OpManager also allows you to execute remote troubleshooting actions, run scripts or system commands, terminate resource-intensive processes, and get notified of any faults via instant email or SMS alerts.

Here are the monitors OpManager provides for HP server management:

Performance monitors Application monitors Windows service monitors
VMware event monitors Process monitors File and folder monitors
Service monitors URL monitors Script monitors
Event Log monitors Syslog monitors  

HP server performance monitoring tool

OpManager is an intelligent HP server monitoring software that helps you proactively monitor the HP servers in your data center with real-time performance statistics on a server-centric dashboard. This HP server monitoring dashboard provides complete visibility into various server parameters 24x7, and it allows you to identify performance bottlenecks before they affect your business while HP network monitoring in turn empowers your network.

HP Server Monitoring - ManageEngine OpManager

HP resource utilization monitoring

In-depth HP server utilization monitoring helps you optimize your servers to make the most of the available CPU, memory and disk space. OpManager's intuitive graphs and dials provide real-time utilization values to help you understand the responsiveness of your HP servers. It also displays graphs that plot resource utilization against time and lets you drill down on the processes that are hogging your CPU and memory using process diagnostics.

HP Server Monitoring Tools - ManageEngine OpManager

HP server health and availability monitoring

OpManager as your HP server monitoring tool provides out-of-the-box performance monitors to track critical metrics, monitor the health and availability of your servers, identify the root cause of server issues, and lets you resolve them using IT workflow automation. The data collected in HP monitoring is also stored in a database to help you analyze your HP server's performance over a specific period and generate performance reports. Hardware health is scalable with OpManager's HP server hardware monitoring. You can also monitor the performance of Linux devices using a linux network monitor like OpManager.

HP Server Management - ManageEngine OpManager

HP hardware monitoring

While monitoring the temperature, fan speed, processors, power supply, memory, and partition details, OpManager, as your HP server hardware monitor, instantly notifies you of any hardware issues. This helps you protect your business-critical workloads and minimizes the risk of server outages.

HP Monitoring Software - ManageEngine OpManager

Multi-level threshold based monitoring

OpManager identifies and reports errors in your HP servers with multi-level, threshold-based monitoring. This potential HP monitoring software keeps you informed at each stage of any variation in the monitored performance metric. For example, if the CPU utilization value rises above 75, 85, or 90 percent, you'll receive 'Attention', 'Trouble', and 'Critical' alerts, respectively. These threshold values are preconfigured into device templates that can be associated with your HP servers, and will help you identify and troubleshoot server issues automatically at the earliest stage.

HP Server Hardware Monitoring - ManageEngine OpManager

HP server health reports

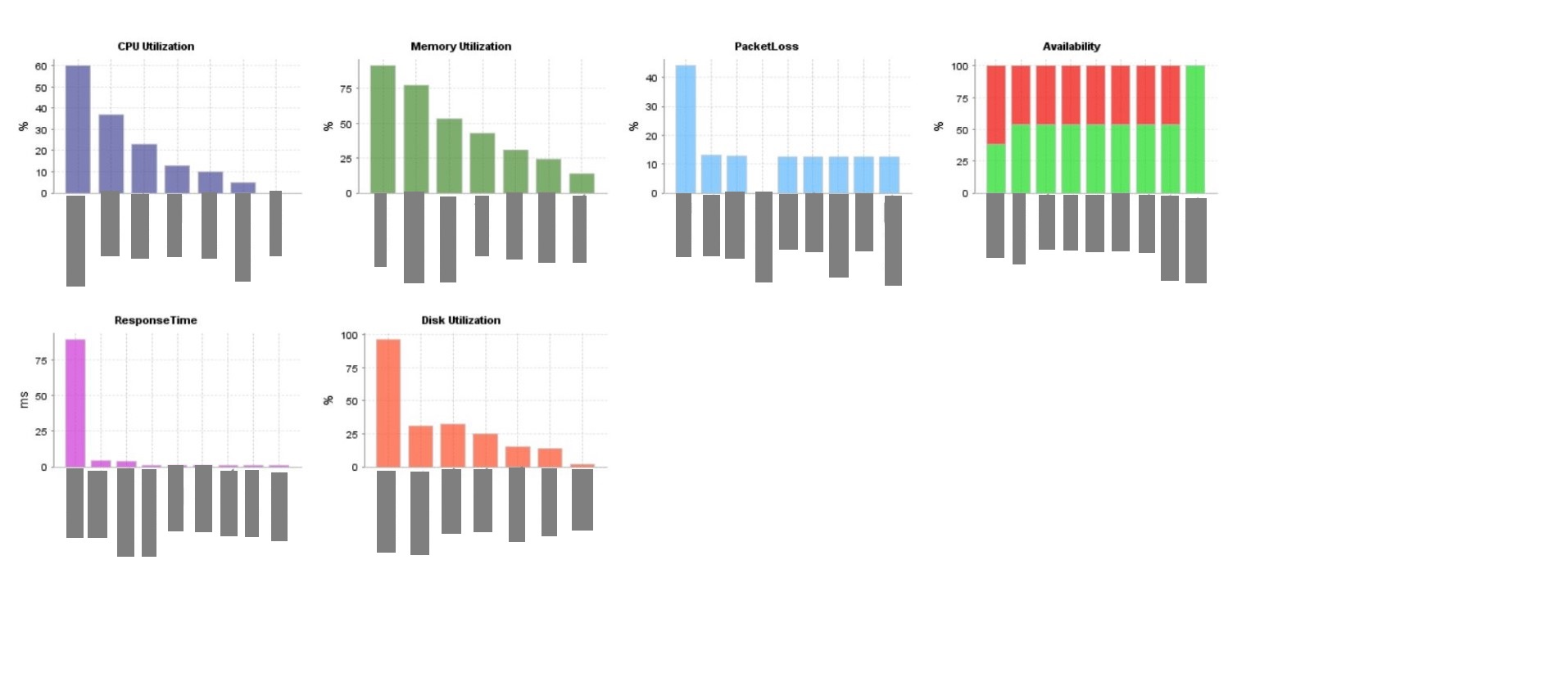
OpManager, as a comprehensive HP server management tool, provides intelligent server health reports for HP servers on CPU utilization, memory utilization, packet loss, availability, response time, and disk utilization. This essential HP monitoring assists and simplifies decision-making processes on capacity additions, upgrades, or maintenance schedules.

HP Monitoring Tool - ManageEngine OpManager

Download our free, fully functional, 30-day trial today and learn everything about HP server monitoring all by yourself or sign up for a personalized demo and talk with one of our product experts.

Want to explore more of OpManager's server management features?

OpManager is an end-to-end network and server monitoring software that helps you monitor your devices across multiple locations for fault and performance. Learn more about its server monitoring capabilities today.

Make your network monitoring simple and efficient!

Download OpManager now

Customer reviews

More than 1,000,000 IT admins trust ManageEngine ITOM solutions to monitor their IT infrastructure securely

OpManager - 10 Steps Ahead of the Competition - Network Services Manager
OpManager - Easy Implementation & Excellent Support - Team Lead
OpManager - Easy Implementation with a Feature Rich Catalogue - NOC Manager
OpManager - Great Network Monitoring Tool - CIO
OpManager - Simple Implementation & Easy to use - Principal Engineer
 
 

Case Studies - OpManager

OpManager

Hinduja Global Solutions saves $3 million a year using OpManager

Industry: IT

Hinduja Global Solutions (HGS) is an Indian business process management (BPM) organization headquartered in Bangalore and part of the Hinduja Group. HGS combines technology-powered automation, analytics, and digital services focusing on back office proces

Learn more

OpManager

USA-Based Healthcare Organization Monitor's Network Devices Using OpManager and Network Configuration Manager

Industry: Healthcare

One of the largest radiology groups in the nation, with a team of more than 200 board-certified radiologists, provides more than 50 hospital and specialty clinic partners with on-site radiology coverage and interpretations.

Learn more

OpManager

Netherlands-based real estate data company avoids system downtime using OpManager and Firewall Analyzer

Industry: Real Estate

Vabi is a Netherlands-based company that provides "real estate data in order, for everyone." Since 1972, the company has focused on making software that calculates the performance of buildings. It has since then widened its scope from making calculations

Learn more

OpManager

Global news and media company

Industry: Telecommunication and Media

Bonita uses OpManager to monitor their network infrastructure and clear bottlenecks

Learn more

OpManager

Bonita

Industry: Businesses and Services

Bonita uses OpManager to monitor their network infrastructure and clear bottlenecks

Learn more

OpManager

Thorp Reed & Armstrong

Industry : Government

Randy S. Hollaway from Thorp Reed & Armstrong relies on OpManager for prompt alerts and reports

Learn more
 
 
 
 Pricing  Get Quote