Os recursos de monitoramento de servidor do OpManager oferecem um monitoramento avançado de saúde e desempenho do servidor para toda a sua TI e oferecem insights detalhados sobre cada fator que contribui para uma infraestrutura de servidor saudável.
Com o monitor de saúde do servidor pré-definido do OpManager, você pode monitorar a integridade e o desempenho para uma ampla variedade de servidores, como monitoramento HP (HP ProLiant, HP BladeSystem), Dell PowerEdge, Dell PowerEdge Blade, servidores IBM eServer xSeries, Microsoft Windows Server, Hipervisor VMware vSphere e outros servidores físicos e virtuais também.
O OpManager oferece uma visão detalhada da integridade e do desempenho do servidor em todo o seu ambiente de rede de TI em tempo real e notifica você com bastante antecedência antes que surja um problema com componentes críticos do servidor.
Os monitores de integridade dos servidores da solução garantem que os servidores, tanto físicos quanto virtuais, estejam operacionais e funcionando em um nível gerenciável.
Você também pode monitorar métricas importantes como carga de CPU, tempo de resposta, latência de rede, utilização de memória, perda de pacotes e muito mais para planejar capacidade e utilização de recursos.

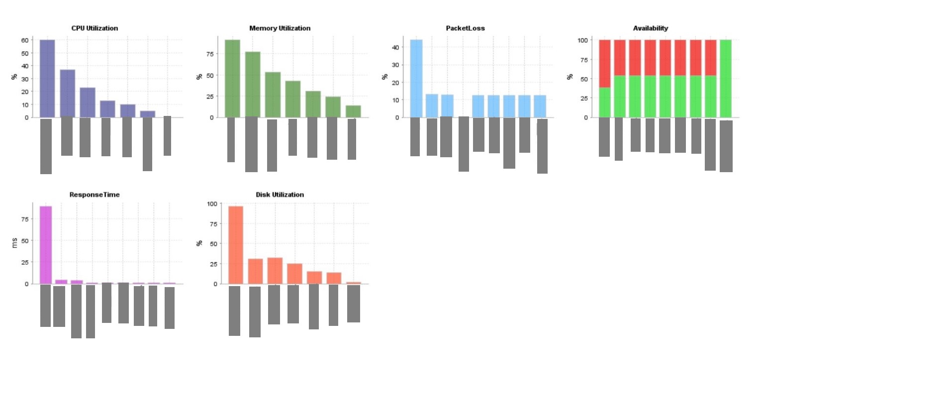
O OpManager , como uma ferramenta abrangente de monitoramento da saúde do servidor, fornece relatórios de monitoramento de verificação da integridade para servidores de vários fornecedores sobre disponibilidade, utilização de memória, utilização de CPU, perda de pacotes, tempo de resposta e utilização de disco. Os relatórios de utilização podem ser usados para auxiliar em acréscimos de capacidade, cronogramas de manutenção ou atualizações.
Usando esses relatórios, você pode identificar e eliminar o processo que afeta o desempenho do servidor e garantir que seu servidor funcione em condições ideais. Todos os dados e relatórios são armazenados no banco de dados para análise detalhada e para ajudá-lo a criar relatórios mensais e anuais de integridade do servidor.
Usando o OpManager, você pode configurar limites de vários níveis para classificar e analisar qualquer falha encontrada e para gerar alertas antes que o dispositivo fique inativo ou atinja uma condição crítica. O OpManager pode enviar alertas em tempo real via e-mail, SMS ou notificação push e com base no nível de gravidade, e você pode tomar as medidas corretivas necessárias.


O OpManager possui um painel amplamente personalizável com mais de 90 widgets que podem ser customizados para atender às necessidades de um administrador, bem como às necessidades de gerenciamento de TI da organização.
Você pode configurar um painel personalizado com widgets de monitoramento de verificação de integridade do servidor, como disponibilidade, resposta e outras métricas específicas para sua integridade e manter o controle da sua rede.
O OpManager também oferece visualizações de negócios (agrupamento de dispositivos personalizado com base na localização geográfica, serviços de negócios ou mapeamento lógico) que podem ser usadas para agrupar servidores e monitorar seu status de integridade sem esforço.

+