OpManager's server monitoring capabilities, offer advanced server health and performance monitoring for your entire IT and offers detailed insights on every factor that contributes to a healthy server infrastructure. With OpManager's predefined server health monitor, you can monitor the server health and performance for a wide range of servers like HP monitoring (HP ProLiant, HP BladeSystem), Dell PowerEdge, Dell PowerEdge Blade, IBM eServer xSeries servers, Microsoft Windows Server, VMware vSphere hypervisor and other physical and virtual servers as well.
Before focussing on specific features, here are a snippet of OpManager's capabilities onserver health monitoring.
OpManager offers a detailed view of server health and performance across your IT network environment in real-time and notifies you well in advance before an issue arises with critical server components. OpManager's server health monitors ensure that the servers, both physical and virtual, are operational and functioning at a manageable level. You can also monitor key metrics like CPU load, response time, network latency, memory utilization, packet loss and more to plan for capacity, and resource utilization.

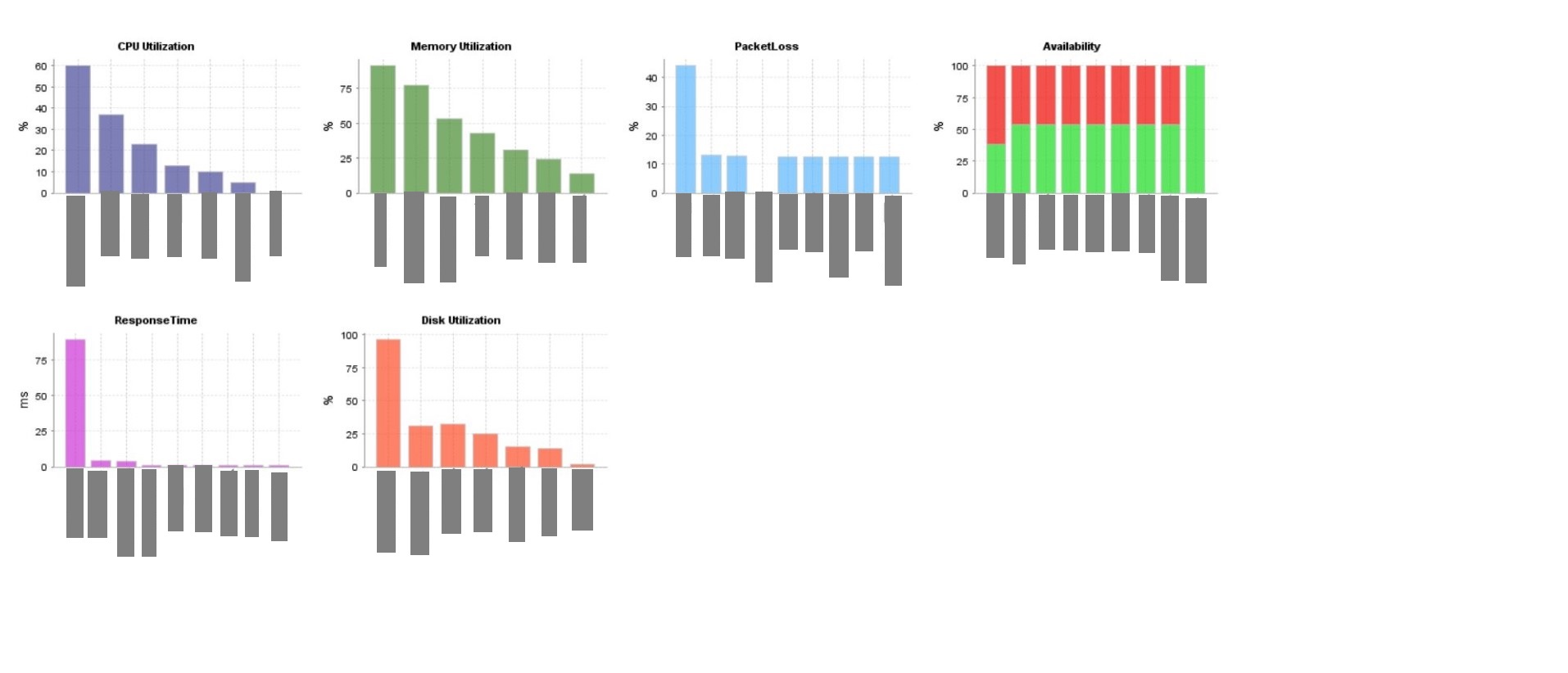
OpManager, as a comprehensive server health monitoring tool, provides server health check monitoring reports for multi-vendor servers on availability, memory utilization, CPU utilization, packet loss, response time, and disk utilization. The utilization reports can be used to assist on capacity additions, maintenance schedules or upgrades. Using these reports, you can identify and kill the process affecting server performance and ensure that your server runs in optimal conditions. All the data and reports are stored in the database for detailed analysis and to help you create monthly and yearly server health reports.

Using OpManager, you can configure multi-level thresholds to classify and break down any fault encountered and for raising alerts before the device goes down or reaches critical condition. OpManager can send you alerts in real-time via email, SMS, or push notification and based on the level of severity, and you can take the required corrective measures.
OpManager has an extensively customizable dashboard with over 200 performance widgets that can be customized to suit the needs of an administrator as well as the IT management needs of the organization. You can set up a custom dashboard with server health check monitoring widgets like server availability, response and other metrics specific to server health and stay on top of your network health. OpManager also offers business views (custom device grouping based on geographical location, business services or a logical mapping) that can be used to group servers together and monitor their health status effortlessly.

Download our free, fully functional, 30-day trial today and learn everything about OpManager's server health monitoring capabilities all by yourself or sign up for a personalized demo and talk with one of our product experts.
More than 1,000,000 IT admins trust ManageEngine ITOM solutions to monitor their IT infrastructure securely