Hewlett Packard Enterprises (HPE) è leader di mercato nella fornitura di risorse informatiche ad alte prestazioni. Se il data center esegue applicazioni mission-critical o altri carichi di lavoro sensibili su server HP, sarà sicuramente necessario un potenziale software di monitoraggio della rete per tracciare e analizzare i server HP.

Perché è necessario un software di monitoraggio di rete proattivo per gestire i server HP?

I server non sono un'entità separata nella rete. Molte operazioni della rete dipendono dai server e quindi è necessario un monitoraggio della rete altamente integrato. In questo modo sarebbe facile mettere in relazione tutti i dati e gestire tutti i dispositivi di rete da un'unica console.

Di seguito sono riportati alcuni motivi per cui potrebbe essere necessario un software di monitoraggio di rete proattivo per gestire i server HP.

  • Miglioramento delle prestazioni: Una solida soluzione di monitoraggio di rete controlla i dispositivi HP per metriche quali l'utilizzo della CPU, l'utilizzo della memoria, la temperatura HP, la soglia e altre metriche di prestazione. Grazie al monitoraggio proattivo, i dispositivi vengono ottimizzati per ottenere prestazioni ottimali.
  • Risoluzione più rapida dei problemi: Il monitoraggio continuo aiuta a identificare potenziali colli di bottiglia nella rete, aiutando così gli amministratori a risolvere il problema prima che inizi a ripercuotersi sugli utenti finali. In questo modo, i tempi di inattività sono ridotti al minimo, con un notevole risparmio sui costi di manutenzione.
  • Gestione delle risorse: Un versatile software di monitoraggio HP aiuta ad analizzare le prestazioni e le tendenze di utilizzo, consentendo così una corretta allocazione delle risorse. Questo aiuta l'azienda a soddisfare le crescenti esigenze aziendali e a ridurre le spese derivanti da acquisti improvvisati.

Quando la rete è monitorata correttamente, si riducono le interruzioni e i ritardi, migliorando così l'esperienza dell'utente finale e l'affidabilità della rete.

Perché OpManager è la soluzione completa per il monitoraggio dei server HP

Come strumento di monitoraggio HP, OpManager fornisce il supporto necessario per affrontare i problemi di prestazioni e le interruzioni dei server. Dal tracciamento delle metriche al monitoraggio delle prestazioni, il monitoraggio dei server HP è tutto ciò che serve ai tuoi dispositivi. Consente di monitorare oltre 300 metriche critiche, tra cui l' utilizzo della CPU, l'I/O, l'utilizzo della memoria, l'utilizzo del disco e i processi del server. OpManager consente inoltre di eseguire azioni di risoluzione dei problemi da remoto, di eseguire script o comandi di sistema, di terminare i processi ad alta intensità di risorse e di ricevere notifiche di eventuali guasti tramite avvisi immediati via e-mail o SMS.

Ecco i monitoraggi che OpManager fornisce per la gestione dei server HP:

Monitoraggio delle prestazioni Monitoraggio delle applicazioni Monitoraggio dei servizi di Windows
Monitoraggio degli eventi VMware Monitoraggio dei processi Monitoraggio di file e cartelle
Monitoraggio dei servizi Monitoraggio degli URL Monitoraggio degli script
Monitoraggio dei log degli eventi Monitoraggio dei syslog  

Strumento di monitoraggio delle prestazioni dei server HP

OpManager è un software di monitoraggio intelligente dei server HP che consente di monitorare in modo proattivo i server HP nel proprio data center con statistiche sulle prestazioni in tempo reale da una dashboard incentrata sul server. Questa dashboard di monitoraggio dei server HP fornisce una visibilità completa dei vari parametri dei server 24 ore su 24, 7 giorni su 7, e consente di identificare i colli di bottiglia delle prestazioni prima che si ripercuotano sull'azienda, mentre il monitoraggio della rete HP a sua volta potenzia la rete.

HP Server Monitoring - ManageEngine OpManager

Monitoraggio dell'utilizzo delle risorse HP

Il monitoraggio approfondito dell'utilizzo dei server HP permette di ottimizzare i server per sfruttare al meglio la CPU, la memoria e lo spazio su disco disponibili. I grafici e i quadranti intuitivi di OpManager forniscono valori di utilizzo in tempo reale per consentire di comprendere la reattività dei server HP. Vengono inoltre visualizzati grafici che tracciano l'utilizzo delle risorse in funzione del tempo e consentono di analizzare i processi che stanno intasando la CPU e la memoria grazie alla diagnostica dei processi.

HP Server Monitoring Tools - ManageEngine OpManager

Monitoraggio dello stato di integrità e della disponibilità dei server HP

OpManager, lo strumento di monitoraggio dei server HP, offre un monitoraggio delle prestazioni immediato per tenere traccia delle metriche critiche, monitorare lo stato di integrità e la disponibilità dei server, identificare la causa principale dei problemi dei server e consentirti di risolverli utilizzando l'automazione del flusso di lavoro IT. I dati raccolti con il monitoraggio HP vengono inoltre archiviati in un database che consente di analizzare le prestazioni del server HP in un periodo specifico e di creare report sulle prestazioni. L'integrità dell'hardware è scalabile con il monitoraggio hardware dei server HP di OpManager. È inoltre possibile monitorare le prestazioni dei dispositivi Linux utilizzando un  monitor di rete Linux  come OpManager.

HP Server Management - ManageEngine OpManager

Monitoraggio hardware della HP

Monitorando la temperatura, la velocità delle ventole, i processori, l'alimentazione, la memoria e i dettagli delle partizioni, OpManager, in qualità di monitor dell'hardwaredei server HP, segnala tempestivamente eventuali problemi hardware. Questo contribuisce a proteggere i carichi di lavoro critici per l'azienda e a ridurre al minimo il rischio di interruzioni del server.

HP Monitoring Software - ManageEngine OpManager

Monitoraggio multilivello basato su soglie

OpManager identifica e segnala gli errori nei server HP con un monitoraggio multilivello basato su soglie. Questo potenziale software di monitoraggio HP aggiorna l'utente in ogni fase di qualsiasi variazione delle metriche di prestazione monitorate. Ad esempio, se il valore di utilizzo della CPU supera il 75, 85 o 90 percento, si riceveranno rispettivamente gli avvisi "Attenzione", "Problemi" e "Critico". Questi valori di soglia sono preconfigurati in modelli di dispositivi che possono essere associati ai propri server HP e aiuteranno a identificare e risolvere automaticamente i problemi dei server nella fase iniziale.

HP Server Hardware Monitoring - ManageEngine OpManager

Report sullo stato di integrità dei server HP

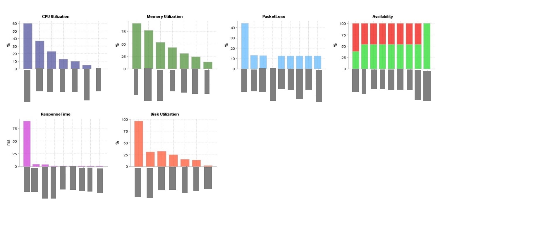
OpManager, come strumento completo di gestione dei server HP, fornisce report intelligenti sullo stato di integrità dei server HP sull'utilizzo della CPU, l'utilizzo della memoria, la perdita di pacchetti, la disponibilità, il tempo di risposta e l'utilizzo del disco. Questo monitoraggio essenziale di HP assiste e semplifica i processi decisionali sull'aggiunta di capacità, sugli aggiornamenti o sui programmi di manutenzione.

HP Monitoring Tool - ManageEngine OpManager

Scarica oggi stesso la nostra prova gratuita e completamente funzionale di 30 giorni impara tutto sul monitoraggio dei server HP, oppure iscriviti per una demo personalizzata  e parla con uno dei nostri esperti di prodotto.

Vuoi approfondire le funzioni di gestione dei server di OpManager?

OpManager è un software di monitoraggio della rete e dei server end-to-end che permette di monitorare i dispositivi in più sedi per individuare guasti e prestazioni. Scopri di più sulle sue funzionalità di monitoraggio dei server.